| Заглавная страница |
Руководство пользователя |
Практикум абитуриента |
Учебные программы |
| Математический кружок |
Занимательная математика|
Формулы, словари |
Новости |
|Странички истории |
Экзамены, тесты |
Библиография |
Ссылки |
Карта |
Неравенства
В этом разделе будут представлены различные методы доказательства неравенств.
Используя предложенные методы, будут доказаны как классические неравенства, так
и неравенства, предложенные на различных математических конкурсах.
I. Монотонность функций
Предполагается, что читатель знаком с понятием монотонности функций и
свойствами (критериями) монотонных функций.
Задача 1. Сравнить числа ep и
pe.
Решение. Рассматривается функция
Так как производная функции f,
принимает отрицательные значения для всех
x Î
(e;+¥) и f непрерывна на
[e;+¥), следовательно, f строго
убывает на [e;+¥).
Отсюда, учитывая что e < p, получаем
и, значит, ep >
pe.
Задача 2. Исследовать на ограниченность числовую последовательность
Решение. Вначале докажем неравенство
|
ln(1 + x) ≤ x (x ≥ 0).
|
(1) |
Для этого рассмотрим функцию
f:[0;+¥) ®
R; f(x) = x - ln(1 + x).
Функция f непрерывна на области определения, и для любого
x Î (0;+¥)
имеет место равенство
откуда следует, что f ¢(x) > 0
(x Î
(0;+¥)). Следовательно, функция f
строго возрастает на области определения D(f), и, значит,
f(x) ≥ f(0)
("x ≥ 0),
что означает справедливость неравенства (1).
В неравенстве (1), рассмотрев
x = 1/n (n = 1,2,...), получим
или
 |
(2) |
Из неравенства (2) следует
 |
(3) |
Сложив почленно неравенства (3), получим неравенство
Так как из
последнего неравенства следует, что числовая последовательность
xn = 1 + 1/2 + ... +
1/n неограничена.
Следствие: Ряд
расходится.
Задача 3. (Неравенство Бернулли) Для любых x > -1;
a > 1 имеет место неравенство
Причем равенство имеет место только при x = 0.
Решение. Рассмотрим функцию
f(x) = (1 + x)a -
1 - ax,
(x Î [-1;+¥)),
где a - фиксированное число, большее 1. Вычислим
производную этой функции
f ¢(x) =
a(1 + x)a-1 -
a =
a((1 + x)a-1 - 1)
(x > -1).
Из условия a > 1, следует, что
f ¢(x) < 0 для
x Î (-1;0) и
f ¢(x) > 0 для
x Î (0;+¥).
Значит, функция f убывает на [-1;0] и возрастает на
[0;+¥).
Отсюда заключаем, что для всех x Î
[-1;+¥)\{0} имеет место неравенство
f(x) > f(0), то есть,
(1 + x)a - 1 -
ax > 1 - 1
или
(1 + x)a > 1 +
ax
(x Î
[-1;0)И(0;+¥),
a > 1).
Остается заметить, что при x = 0 выполняется
(1 + x)a =
1 + ax.
Замечание. Аналогично доказываются неравенства
| (1 + x)a
≤ 1 + ax
|
(x ≥ -1; 0 < a < 1),
|
|
(1 + x)a
≥ 1 + ax
|
(x ≥ -1; a < 0).
|
Задача 4. (Неравенство Юнга) Если p, q
Î R\{0,1} удовлетворяют свойству
1/p + 1/q = 1, то для любых
положительных чисел a, b выполняются неравенства
|
(5) |
и
|
(6) |
Более того, равенство достигается тогда и только тогда, когда
ap = bq.
Решение. Рассмотрим случай p > 1. Зафиксировав произвольное
положительное число a, определим функцию
Производная этой функции равна
f ¢(b) =
bq-1 - a.
Элементарными вычислениями устанавливается, что точка
является точкой
глобального минимума, т. е.
|
(7) |
Из неравенства (7), учитывая, что
1/p + 1/q = 1, получается
.
Таким образом, неравенство (5) доказано. Более того, из
(7) следует, что равенство имеет место только в случае
, т. е.
ap = bq.
Неравенство (6) доказывается аналогично.
Задача 5. Доказать неравенство
|
|sinx| ≤ |x|
(x Î R).
|
(8) |
Решение. В силу четности обоих частей, достаточно рассмотреть ситуацию
x ≥ 0. Более того, т. к. |sinx| ≤ 1, то достаточно изучить
случай 0 ≤ x ≤ 1.
С этой целью рассмотрим функцию
f:[0;1]® R,
f(x) = x - sinx.
Производная функции f имеет вид
f ¢(x) = 1 - cosx
(x Î [0;1]).
На основании ограниченности косинуса (|cosx| ≤ 1;
x Î R), заключаем что
f ¢(x) ≥ 0,
откуда следует, что функция f является монотонно возрастающей на своей
области определения, и поэтому имеет место неравенство
f(x) ≥ f(0)
(x Î [0;1]),
или
x - sinx ≥ 0,
(x Î [0;1])
откуда следует исходное неравенство.
Задача 6. Доказать, что если a > b > c, то
a2(b - c) +
b2(c - a) +
c2(a - b) > 0,
Решение. Рассмотрим функцию
f:[0;+¥)
® R
вида
f(t) = (b + t)2(b - c) +
b2(c - (b + t)) +
c2((b + t) - b),
где a, b, c являются вещественными параметрами,
удовлетворяющими неравенсту a > b > c. Аналогично
предыдущим задачам доказывается, что функция f является строго
возрастающей на [0;+¥), и, следовательно, имеет
место неравенство f(a - b) > f(0). Последнее
неравенство равносильно исходному неравенству.
II. Выпуклость
Определение: Функция f : I ®
R (I - интервал вещественной оси) называется выпуклой на
I, если для всех x1, x2
Î I и любых чисел
l1
l2 таких что
l1 ≥ 0,
l2 ≥ 0,
и l1 +
l2 = 1, имеет место неравенство
|
f(l1x1 +
l2x2)
≤
l1f(x1) +
l2f(x2).
|
(9) |
В случае, когда для всех x1 ≠
x2,
l1·l2
≠ 0 знак в неравенстве (9) является строгим, функция
f называется строго выпуклой на I.
Определение (строго) вогнутой функции получается из приведенного выше заменой
знака неравенства (9) на противоположный.
Неравенство Иенсена. Пусть f : I
® R - выпуклая функция. Тогда для любых
xj Î
I (j = 1,...,n) и произвольных
lj ≥ 0
(j = 1,...,n) таких, что
l1 + ... +
ln = 1 имеет место неравенство
Критерий выпуклости
Для того, чтобы непрерывная на интервале I и имеющая вторую производную
на внутренности int(I) = {x
Î R | $
e > 0 (x - e,
x + e М I)}
интервала I функция f : I ®
R была выпуклой на этом интервале, необходимо и достаточно, чтобы на
int(I) выполнялось неравенство f
¢¢(x)
≥ 0. Если же f
¢¢(x) > 0
на int(I), то этого достаточно, чтобы гарантировать строгую
выпуклость функции f на I.
Замечание. Утверждения, подобные неравенству Иенсена и приведенному
выше критерию, справедливы и для вогнутых функций.
Задача 7. (Неравенство Коши о средних). Для любых неотрицательных чисел
x1, x2, ..., xn
справедливо неравенство
|
(10) |
т. е. среднее геометрическое не превосходит среднее арифметическое.
Решение. Если одно из чисел aj равно 0, то
неравенство (10) очевидно, поэтому будем считать что все
числа aj положительны.
Рассмотрим функцию f(x) = lnx (x > 0). Так как
, следовательно,
f вогнута на (0;+¥). На основании
неравенства Иенсена, заключаем
что влечет неравенство (10).
Задача 8. Пусть x1, ..., xn
- неотрицательные числа. Доказать, что функция
монотонно возрастает.
Решение. Пусть 0 < a <
b. Рассмотрим функцию
(x ≥ 0).
Так как
(x > 0), следовательно, функция h выпукла на
[0;+¥). Согласно неравенству Иенсена
или
откуда следует
f(a) ≤
f(b).
Задача 9. Доказать справедливость неравенства
,
где a, b,
g - внутренние углы некоторого треугольника.
Решение. Рассмотрим функцию f :
[0;p]®R;
f(x) = sinx. Так как f
¢¢(x) =
-sinx и f
¢¢(x) < 0
для x Î (0;p),
следовательно, функция f вогнута на [0;p].
Согласно неравенству Иенсена,
или
откуда получаем
.
Задача 10. Доказать, что для произвольных положительных чисел
aj, bj
(j = 1,...,n) справедливо неравенство
Решение. Рассмотрим функцию f :
[0;+¥)®R,
f(x) = lnx. Эта функция вогнута на (см.
Задачу 7). Следовательно, согласно неравенству Иенсена,
или
и, значит,
Задача 11. (Неравенство Гюйгенса). Доказать, что для произвольных
неотрицательных чисел aj (j = 1,...,n).
справедливо неравенство
Решение. Рассмотрим функцию f : R
® R,
f(x) = ln(1 + ex). Так как
f
¢¢(x) > 0
для всех x Î R, следовательно,
f выпукла на R. Согласно неравенству Иенсена, получим
III. Упорядоченность
Теорема 1. Пусть даны два набора из n чисел такие, что
| a1 ≥
a2 ≥
... ≥ an, |
| b1 ≥
b2 ≥
... ≥ bn. |
Рассмотрим всевозможные суммы
s =
a1bi1 + ... +
anbin,
где (i1,...,in) - некоторая
перестановка чисел 1,2,...,n. Тогда
| S = max s =
a1b1 + ... +
anbn, |
| s = min s =
a1bn + ... +
anb1. |
Задача 12. Доказать, что для произвольных положительных чисел
a, b, c справедливо неравенство
Решение. Поскольку неравенство симметрично, без ограничения общности,
можно предположить, что a ≥ b ≥ c. Тогда
следовательно,
и
Сложив почленно последние два неравенства, получим
Задача 13. Доказать, что для произвольных положительных чисел a,
b, c, удовлетворяющих условию
a·b·c = 1, справедливо неравенство
Решение. Подобно Задаче 12, предположим, что
a ≥ b ≥ c. Тогда
Следовательно,
так как ab ≥ ac ≥ bc, на основании
Теоремы 1, получаем
или
Сложив почленно последние два неравенства, получим
|
(11) |
Согласно неравенству Коши о средних (см. Задачу 7), получим
|
(12) |
Учитывая условие a·b·c = 1, заключаем, что из
(11) и (12) следует неравенство
Задача 14. Пусть a, b, c - положительные числа.
Докажите, что
(aabbcc)2
≥
ab+cbc+aca+b.
Решение. Не ограничивая общности рассуждений, предположим, что a
≥ b ≥ c. Тогда lna ≥ lnb ≥ lnc.
Следовательно, согласно Теореме 1,
alna + blnb + clnc
≥
blna + clnb + alnc
и
alna + blnb + clnc
≥
clna + alnb + blnc.
Сложив почленно эти неравенства, получим
2(alna + blnb + clnc)
≥
(b + c)lna + (c + a)lna +
(c + a)lnb + (a + b)lnc
или
ln(aabbcc)2
≥
ln(ab+cbc+aca+b),
откуда следует
(aabbcc)2
≥
ab+cbc+aca+b.
Задача 15. Доказать, что для любых положительных чисел a,
b, c справедливо неравенство
a3b + b3c +
c3a ≥
a2bc + b2ca +
c2ab.
Решение. Пусть a ≥ b ≥ c. Тогда
a2 ≥
b2 ≥
c2 и
На основании Теоремы 1 заключаем
Последнее неравенство равносильно исходному.
Задача 16. Пусть {a1, a2, ...,
an} - последовательность различных натуральных чисел.
Доказать, что для каждого натурального n выполняется неравенство
Решение. Пусть ai1 <
ai2 < ... <
ain, где
(i1,i2,...,in)
- некоторая перестановка чисел 1,2,...,n. Так как
следовательно,
IV. Классические неравенства и их приложения
Задача 17. (Неравенство Гельдера) Доказать, что для любых положительных
чисел p, q, удовлетворяющих условию
1/p + 1/q = 1 и произвольных чисел
aj, bj
(j = 1,...,n) справедливо неравенство
|
(13) |
Решение. Предположим, что
и
(в противном случае
неравенство (13) очевидно). Применяя неравенство Юнга (см.
Задачу 5), получим
откуда следует неравенство (13).
Задача 18. Доказать, что последовательность
возрастающая.
Решение. Согласно неравенству Коши о средних (см.
Задачу 7), имеют место неравенства
откуда следует
то есть xn ≤
xn+1.
Задача 19. Доказать, что
| (14) |
для любых xk Î R;
xk > 0 (k = 1,...,n).
Решение. Неравенство (14) немедленно следует из
неравенства Коши
Задача 20. Доказать, что для любых положительных чисел
a1, a2, ..., an
имеет место неравенство
Решение. Согласно неравенству Коши-Буняковского (частный случай
неравенства Гельдера при p = q = 2), получим
Задача 21. Доказать, что
где ak ≥ 0
(k = 1,2,...,n).
Решение. Согласно неравенству Коши-Буняковского
Задача 22. Доказать, что для любых положительных чисел
aj, bj
(j = 1,...,n) имеет место неравенство
Решение. На основании неравенства Гельдера получим
или
откуда
Задачи для самостоятельного решения
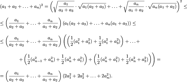
- Доказать неравенство
- Сравнить числа
- Доказать, что для x > 0 имеет место неравенство
1 + 2lnx ≤ x2.
- Пусть x1, x2, ...,
xn - положительные числа. Доказать, что функция
f : R®R,
является монотонно возрастающей. Более того, функция f является строго
возрастающей тогда и только тогда, когда не все числа xj
равны между собой.
- Доказать неравенство
где a, b,
g - внутренние углы некоторого треугольника.
- Пусть a1, a2, ...,
an - действительные числа со свойствами
ak Î
(0;1/2) (k = 1,...,n) и
a1 + ... + an = 1. Доказать, что
- Доказать, что для любых положительных чисел a, b, c
выполняются неравенства
- (Неравенство Чебышева). Если a1 ≥
a2 ≥ ... ≥
an; b1 ≥
b2 ≥ ... ≥
bn, то
(a1 + a2 + ... +
an)(b1 + b2 + ... +
bn) ≤
n(a1b1 +
a2b2 + ... +
anbn).
- Если 1 < a ≤ b ≤ c, то
- Доказать, что
- Доказать, что для любых неотрицательных чисел a, b, c
имеет место неравенство
(a + b)(b + c)(c + a) ≥
8abc.
- Доказать, что для любых действительных чисел x1, ...,
xn имеет место неравенство
- Доказать, что последовательность
является монотонно убывающей.
- Доказать, что
- Доказать, что для любых положительных чисел
a1, a2, ...,
an имеет место неравенство
| Заглавная страница |
Руководство пользователя |
Практикум абитуриента |
Учебные программы |
| Математический кружок |
Занимательная математика|
Формулы, словари |
Новости |
|Странички истории |
Экзамены, тесты |
Библиография |
Ссылки |
Карта |
|